Powers And Exponents Worksheet Pdf With Answers

Class 8 Math Worksheets and Problems Exponents and Powers Edugain India

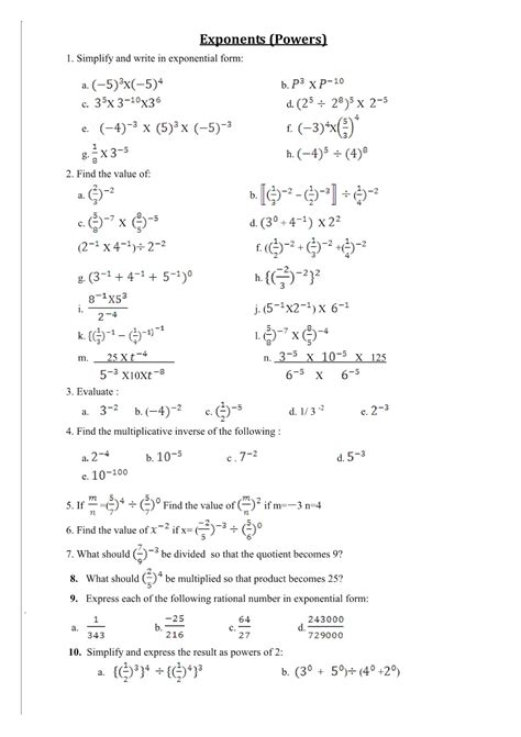
Powers And Exponents Worksheet Pdf With Answers. In example 1 and 2, there are four options given out of which one iscorrect. Web enjoy these free printable sheets focusing on the topics traditionally included in the exponents unit in algebra 2.

Class 8 Math Worksheets and Problems Exponents and Powers Edugain India
Class 8 Math Worksheets and Problems Exponents and Powers Edugain India

Each one has model problems worked out step by step, practice problems, challenge proglems and youtube videos that. Web exponents worksheets for students are designed to reinforce the knowledge associated with the core properties of exponents, and cover such topics as expressions and. Web download math worksheet on finding square roots, cube roots and applying different operations on them to practice and score better in your classroom tests. In example 1 and 2, there are four options given out of which one iscorrect. Web on this page you find our math grade 6 exponent worksheets for primary math school covering basic exponent worksheets, identify the base and exponent worksheets,. Each worksheet has model problems worked out step by. Any base (except 0) raised to the zero power is equal to one. Web exponents with decimal bases. Our worksheets cover the whole breadth of the topic of powers and roots. Web enjoy these free printable sheets focusing on the topics traditionally included in the exponents unit in algebra 2.

Our worksheets cover the whole breadth of the topic of powers and roots. Web exponents worksheets for students are designed to reinforce the knowledge associated with the core properties of exponents, and cover such topics as expressions and. Web our exponents worksheets cover reading and writing simple exponents, powers of ten, whole number, fractional and decimal bases, negative exponents and equations with. Web enjoy these free printable sheets focusing on the topics traditionally included in the exponents unit in algebra 2. In example 1 and 2, there are four options given out of which one iscorrect. Free interactive exercises to practice online or download as pdf to print. Web download math worksheet on finding square roots, cube roots and applying different operations on them to practice and score better in your classroom tests. Each one has model problems worked out step by step, practice problems, challenge proglems and youtube videos that. Web powers and exponents study the box below. Standard form is also called scientific notation form. Web included within this set are worksheets catering to a wide range of topics such as laws of exponents, product rule, quotient rule, power of a power rule, power of a product rule,.