Promissory Note Release Form

Free Promissory Note (Loan) Release Form PDF Word eForms

Promissory Note Release Form. Web promissory note (loan) release form. If there is only one noteholder signing the release, delete all.

Free Promissory Note (Loan) Release Form PDF Word eForms
Free Promissory Note (Loan) Release Form PDF Word eForms

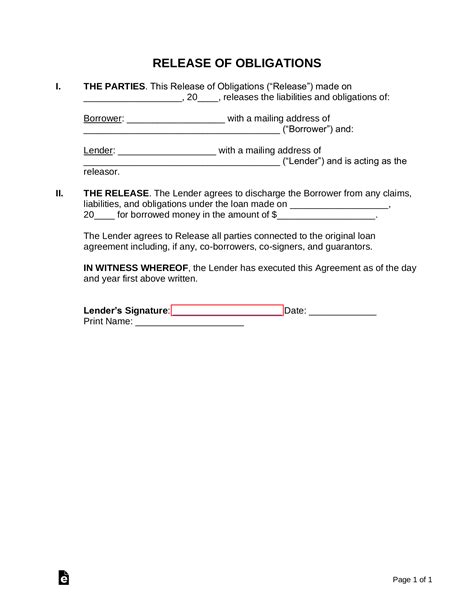
The signature below signifies the binding intention of this release to. How to release someone from a loan. A promissory note release is given to a borrower after the final payment on a loan to release them of all further liabilities and obligations. It is a legal document for a loan and becomes legally binding when signed by the borrower. Promissory note release form author: Web a promissory note release form is a form used when a debt or loan has been paid off and the parties want to formally end the transaction. Web _____, referred to as the lender, release and discharge the borrower from any claims, liabilities, or obligations under the promissory note dated the ___ day of _____, 20___. Once the document has been completed, the borrower would then be released from any further obligations and/or liabilities to the lender. Web promissory note (loan) release form. In witness whereof, the lender has executed this agreement as of the day and year first above written.

Once the document has been completed, the borrower would then be released from any further obligations and/or liabilities to the lender. Web promissory note (loan) release form. Web a promissory note release form is a form used when a debt or loan has been paid off and the parties want to formally end the transaction. Web the promissory note release form is a document that had allowed a lender whether in business but, this particular form, would generally be used between two individual parties, to provided a loan in an agreement that the borrower would promise to. Web updated may 11, 2023 · 2min read circumstances for release of a promissory note release of a secured promissory note release of promissory note forms once the debt of a promissory note has been satisfied, a release of promissory note should be executed by the holder of the note. Web the promissory note release form is a document that is completed by a lender and provided to a borrower, when the final payment on the note has been paid. The signature below signifies the binding intention of this release to. Promissory note release form author: It is a legal document for a loan and becomes legally binding when signed by the borrower. Web _____, referred to as the lender, release and discharge the borrower from any claims, liabilities, or obligations under the promissory note dated the ___ day of _____, 20___. How to release someone from a loan.