Irrevocable Burial Trust Form

Irrevocable Trust Form Michigan Universal Network

Irrevocable Burial Trust Form. This may have several potential benefits. This fairly simple legal document may enable you to both pay funeral costs.

Irrevocable Trust Form Michigan Universal Network
Irrevocable Trust Form Michigan Universal Network

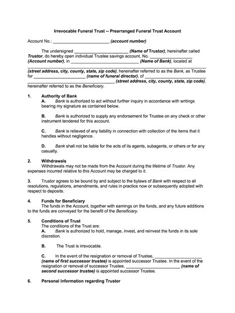
Web complete irrevocable funeral trust form online with us legal forms. This fairly simple legal document may enable you to both pay funeral costs. Web when creating an estate plan, be sure to consider the possibility of setting up an irrevocable burial trust. Easily fill out pdf blank, edit, and sign them. Web irrevocable trust which means that except as provided in paragraph 2, any refund, withdrawal or otherdisposition of the deposits on account plus accruedinterest, for any purpose, will be and must be refused bythe funeral director, thetrustees, the trust fund, and any officer, employee or agent. This may have several potential benefits. Save or instantly send your ready documents. Web creating an irrevocable burial trust. Web upon naming the irrevocable burial trust as the irrevocable beneficiary, the trust becomes the owner of the policy and as trustee, is obligated to apply the policy proceeds towards burial and funeral expenses up to the face amount of the policy. There are two types of funeral trusts, revocable and irrevocable.

This fairly simple legal document may enable you to both pay funeral costs. There are two types of funeral trusts, revocable and irrevocable. If you set up a revocable funeral trust, then you (the trustor, grantor, or. When creating an estate plan, be sure to consider the possibility of setting up an irrevocable burial trust. Web be irrevocable for applicants or recipients of public assistance programs (such as those cited in paragraph (5), and for the state of new jersey to be named as beneficiary of any irrevocable funeral trust or irrevocably assigned newly issued funeral insurance policy purchased or created for the provision and payment of funeral and. Web when you die, the trust pays out its funds to the funeral home to cover the costs of your funeral, burial and any associated services. Save or instantly send your ready documents. Web irrevocable trust which means that except as provided in paragraph 2, any refund, withdrawal or otherdisposition of the deposits on account plus accruedinterest, for any purpose, will be and must be refused bythe funeral director, thetrustees, the trust fund, and any officer, employee or agent. Easily fill out pdf blank, edit, and sign them. And there’s one crucial difference between them: This may have several potential benefits.